您的位置:晋升国际商务 > 海外上市投资 > 香港上市 >

内地企业在中国香港上市详情介绍

发布日期:2016-11-28 13:34 来源:未知

        中国香港在80年代起,就已经是享誉世界的国际金融中心了,与纽约、伦敦、东京并称为世界四大金融中心,其股票和证券市场规模在亚洲排名第二,仅次于日本。中国香港是一个信息极为发达的国际大都市,对全球的投资者而言,中国香港是一个富有吸引力的地方,目前,越来越多的海外投资者抱着不同的目的,纷纷在中国香港设立跨国公司,大部分内地企业也纷纷选择在中国香港注册公司或将企业在中国香港上市。
        凭借着中国香港证券市场有完备的制度、丰富的产品、一流的服务,内地企业到中国香港上市,不仅大大扩大了中国香港证券市场的规模,提高了其深度和流动性,而且优化了其上市公司结构。基于中国香港优越的社会环境,内地在中国香港上市的企业不胜枚举。像建设银行、工商银行、中国银行、中国人寿保险、中国平安保险、中国电信、中国国际航空、中国南方航空、青岛啤酒、比亚迪、周黑鸭、腾讯等大公司都选择在中国香港上市。

 

中国香港证券市场介绍

        中国香港交易及结算所有限公司(Hong Kong Exchanges and Clearing Limited),简称中国香港交易所(HKEx),是全球优先的交易所及结算所营运机构,按市值计算是全球大的交易所集团之一。中国香港证券市场分为主板市场和创业板市场。其中,主板上市要求较高,一般为较大型、基础较佳又符合盈利或其它财务标准的公司。创业板上市要求相对较低,为具有增长潜力的公司集资没有盈利、规模等要求。

中国香港上市的好处

 
拥有良好的资本市场环境,利于企业建设完善的治理结构
  资本市场环境对于企业的长期发展非常重要。中国香港资本市场较内地资本市场更加规范和成熟。中国香港的资本市场建立时间较长,期间经过了多次大小金融危机和各种政治因素的影响,各种制度和各类资本市场参与主体都在这个环境中不断的成熟起来,从而不论对投资者还是企业而言都提供了一个宽松、规范、活跃而又不失监管的资本环境。
 
有助于国内企业在中国香港建立国际化运营平台
  在中国香港上市,有助于内地发行人建立国际化运作平台,实施“走出去”战略。一是中国香港没有外汇管制,资金流出入不受限制;中国香港税率低、基础设施一流、政府廉洁高效。二是,内地发行人可以吸收海外企业对管理、营运及市场开拓的经验,为企业进军海外搭建平台募集及再融资资金更为容易。三是便于内地企业引进海外及国际性投资者。
 
中国香港上市受政策干预少,上市成功率高
  首先,中国香港资本市场市场化程度高,较少受政策的干预,上市过程较短,条例清晰,程序便捷,较容易获得审批,可预期性强。并且,中国香港上市的门槛较低,条件更加灵活。比如没有连续三年盈利规定,控股公司也能上市等。其次,中国香港资本市场的发行制度实行注册制,交易所就能够决定企业能否上市;而境内资本市场的发行制度实行核准制,上市成功率受审核通过率的影响。
  
集资便利
  在中国香港上市,无论以直接融资(如:发行新股或债券等)、间接融资(如:银行借贷)或以增发新股筹集资金,皆可透过资本市场进行。资金供应充盈、法制完备、富性、市场人为干预少,造就中国香港资本市场集资之便利性。
  
发行价没有限制及股权转让容易
  企业在中国香港市场融资规模以市场确定,发行价没有任何市盈率限制。企业如果在境内上市,控股股东股份需要锁定36个月才能在二级市场转让;企业如果在中国香港上市,发起人的股份锁定期一般只有6个月。
  
后续融资极其便利
  在中国香港上市6个月之后,上市发行人就可以进行新股融资。自2000年以来,中国香港后续融资额占市场总融资额的比例通常超过50%,此一情况虽在2006年和2007年的上市热潮中有所改变。自2008年金融风暴以来,后续融资渠道再次占有极大比重的份额;这一现象一直到2010年才重新改变成首发上市占主导地位。
  
扩大国际影响力
  中国香港上市将大大提高公司在国际的知名度和企业形象,扩大企业品牌在国际的影响力,有利于企业打开国际市场,可以让更多的潜在客户了解公司及其产品,建立信任度,为公司各项业务开展带来便利。
  
大中华地区业务在中国香港证券市场受欢迎
  中国香港作为中国的一部分,长期以来是内地企业海外上市的优选市场,而中国香港市场的国际投资者对投资有大中华地区业务之公司特别感兴趣。在不久的未来,内地的投资者与资金也会云集中国香港这个“本土国际市场”,其中大的受益者将是在中国香港挂牌上市的各类企业。故拥有中、港、台业务的企业大都选择利用中国香港的国际金融地位而来港上市,目前已有众多中国内地企业及跨国公司在中国香港联交所上市。
 

中国香港上市条件

        主板市场面对规模大、较为成熟的企业,对上市企业的要求较为严格。创业板市场主要面对规模较小,但是具有较高增长潜力的公司,对上市企业的要求较为宽松。
 
主板市场

1、财务要求
(1)过去三个财政年度至少5,000万港元盈利(近一年盈利至少2,000万,以及前两年累计盈利至少3,000万港元),同时上市时市值至少达到2亿港元;
(2)上市时市值至少达到40亿港元且近一个经审计财政年度的收入至少为5亿港元;
(3)上市时市值至少达20亿港元,近一个经审计财政年度的收入至少5亿港元,且前三个财政年度来自营运业务的现金流入合计至少1亿港元。
2、会计准则为《中国香港财务汇报准则》或《国际财务汇报准则》,经营银行业务的公司必须同时遵守中国香港金融管理局发出的《本地注册认可机构披露财务资料》
3、营业记录及管理层:在至少前三个财政年度管理层大致维持不变,在至少近一个经审计财政年度拥有权和控制权大致维持不变。
4、低市值
新申请人上市时证券与其市值至少为2亿港元。
5、公众持股的市值
新申请人与其证券上市时由公众人士持有的股份的市值至少为5,000万港元。
6、公众持股量
须占发行人已发行股本至少25%。
7、股东分布
持有有关证券的公众股东须至少为300人,持股量高的三名公众股东实益持有的股数不得占证券上市时公众持股量逾50%。
 
创业板市场

1、财务要求
创业板申请人须具备不少于2个财政年度的营业记录,包括:日常经营业务有现金流入,于上市文件刊发之前两个财政年度合计至少达2,000万港元;上市时市值至少达1亿港元。
2、会计准则为《中国香港财务汇报准则》或《国际财务汇报准则》,经营银行业务的公司必须同时遵守中国香港金融管理局发出的《本地注册认可机构披露财务资料》。
3、营业记录及管理层
新申请人必须具备2个财政年度的营业记录:管理层在近2个财政年度维持不变;及近一个完整的财政年度内拥有权和控制权维持不变。
4、低市值
新申请人上市时证券与其市值至少为1亿港元。
5、公众持股的市值
新申请人与其证券上市时有公众人士持有的股份市值须至少为3,000万港元。
6、公众持股量
须占发行人已发行股本至少25%。
7、股东分布
持有有关证券的公众股东须至少为100人,持股量高的三名公众股东实益持有的股数不得占证券上市时公众持股量逾50%。
 

中国香港上市途径

1.申请首次公开招股:按照有关法律法规的规定,公司向证券管理部门提出申请,证券管理部门经过审查符合发行条件,同意公司通过发行一定数量的社会公众股的方式直接在证券市场上市。
2.买壳上市:买壳上市是指在证券市场上通过买入一个已经合法上市的公司(壳公司)的控股比例的股份,获得对该上市公司的控制权,通过资产的重组,把自己公司的资产与业务注入壳公司,这样,无须经过上市发行新股的申请就直接取得上市的资格。
 

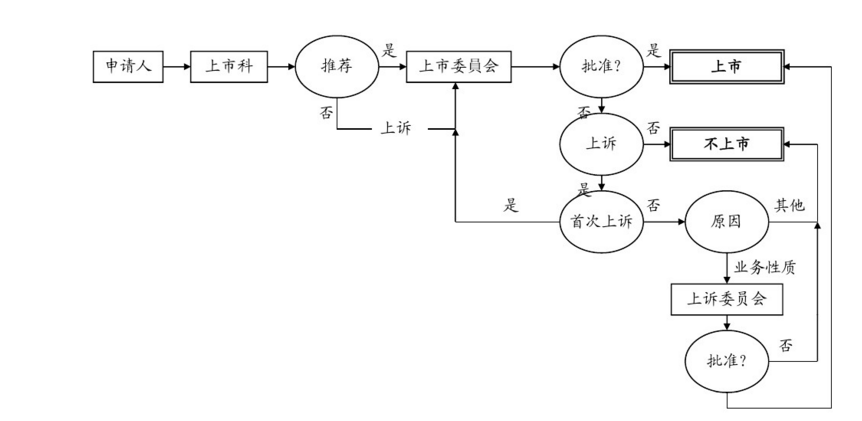
中国香港上市的程序

图片1.png
图片2.png
主板市场

1.首先提出上市申请,预约暂定聆讯日期;   
2.聆讯日期至少25个营业日之前需要提交上市申请表格,支付首次上市费,根据《主板上市规则》第9.11(1)至(5)条,规定提交的文件包括:招股章程较为完备的初稿连同一份上市文件初稿或草稿的只读光碟(第三个财政年度的账目至少应为初稿格式);所有要求的豁免应遵守《上市规则》规定以及《公司条例》条文的初稿;任何账目调查表的初稿;
3.在暂定聆讯日期前至少十五个营业日之前应根据《主板上市规则》第9.11(10)条,规定提交的文件包括:盈利预测初稿以及现金流量预测的备忘录的初稿;
4.在暂定聆讯日期前至少4个营业日之前应根据《主板上市规则》第9.11(18)至9.11(23)条规定提交文件;
5.如果被推荐,则由上市委员会进行聆讯;如果上市申请被拒绝,可酌情向上市委员会提出上诉;
6.上市委员会进行聆讯后如果拒绝,可向上市(复核)委员会提出上诉;如果批准上市,根据《主板上市规则》第9.11(24)至9.11(28)条规定提交文件;
7.在上市委员会聆讯申请后,上市文件刊发日期之前,根据《主板上市规则》第9.11(29)至9.11(32)条提交相关文件;
8.刊发招股章程及正式通告,证券开始买卖。同时应依据《主板上市规则》第9.11(33)条,不迟于预计批准招股章程注册当日早晨11时将有关文件送达中国香港联交所;依据《主板上市规则》第9.11(34)及9.11(38)条,于招股章程刊发后,但于有关证券买卖开始之前,将有关文件送至中国香港联交所。
 
创业板市场

1.首先提出上市申请,预约暂定聆讯日期;   
2.在聆讯日期至少25个交易日之前提交排期申请表格,附有上市时间表;支付首次上市费用,提交《创业板上市规则》第12.14、12.17、12.22以及12.23条规定的文件;
3.由上市科批准,如果上市科拒绝上市申请,申请人可以向创业板上市委员会提出上诉;
4.如果上市科批准上市申请,申请人在收到原则上批准上市通知后,但于上市文件刊发日期之前,依据《创业板上市规则》第12.24条向联交所提交相关文件;
5.刊发招股章程,同时在不迟于预计批准招股章程注册当日早晨11时,依据《创业板上市规则》第12.25条向联交所提交相关文件;在招股章程刊发后,但于有关证券开始买卖之前,依据《创业板上市规则》第12.26及12.27条提交有关文件;
6.股份开始买卖。
晋昇服务
精英团队

友情链接 Q416359204

深圳公司注册 广州公司注册 广州注册公司 合肥代账公司 BVI公司注册 社保代缴 广州公司注册 税务筹划 深圳代理记账 美国L1签证 工商注册 上海注册公司代理 公司注册 重庆注册公司 杭州注册公司
深圳市晋升商务顾问有限公司
深圳总部 :深圳市罗湖区深南东路5002号地王大厦6208-6213 TEL : 4008330866 转1 FAX:755-8367 7703
上海分部 :上海市普陀区长寿路 TEL : 4008330866 转5 FAX:021-6277 8011
北京分部 :北京市朝阳区西大望路 TEL : 4008330866 转4 FAX:010-8599 7011
武汉分部 :武汉市汉口解放大道 TEL:4008330866 转3 FAX:027-85255578
成都分部 :成都市锦江区东大街 TEL:4008330866 转2
中国香港分部 :中国香港中环德辅道中249-253 TEL : 852-2139 3077 FAX:00852-2139 3217
关键词:注册中国香港公司,中国香港公司注册中国香港注册公司 网址:http://www.hkjsh.com/
深圳市晋昇商务顾问有限公司 粤ICP备13072984号网站txt地图网站xml地图网站html地图